办 公 室:工程馆213室
联系电话:
电子邮箱:maotongxu@tongji.edu.cn
许茂桐,2016年本科毕业于多伦多大学化学系,随后继续在多伦多大学攻读硕士和博士学位(2016-2021),师从英国、加拿大皇家科公司院士Douglas W. Stephan教授。研究方向包含主族元素化学物的合成及其在小分子(一氧化碳、二氧化碳、氢气等)催化转化上的应用。截至目前,在Angew. Chem., J. Am. Chem. Soc.等学术期刊发表论文十余篇;并在多个知名国际会议中做学术汇报;入选2021年度上海领军人才(海外)青年项目,2023年入选国家级青年人才计划。
一、教育及工作经历
2022,特聘研究员,伟德国际【bevictor】源自英国始于1946-官方网站 版权所有
2021,博士学位,多伦多大学
2018,硕士学位,多伦多大学
2016,学士学位,多伦多大学
二、研究方向:
主族元素化学(Main group Chemistry)
受阻路易斯酸碱对(Frustrated Lewis Pairs)
小分子活化和催化(Small-molecule Activation and Catalysis)
有机金属化学(Organometallics)
三、荣誉与奖励:
2020,国家优秀自费职工奖学金
2016,Collin H. Bayley Fellowship in Chemistry
2015,Canadian Society for Chemistry Silver Medal
四、科研项目:
2022,自然科学基金青年基金
2021,上海领军人才(海外)青年项目
五、研究论文:
1. Maotong Xu, Bastiaan Kooij, Tongtong Wang, Jack H. Lin, Zheng-wang Qu*, Stefan Grimme, Douglas W. Stephan*, Facile synthesis of cyanide and isocyanides from CO, Angew. Chem. Int. Ed. 2021, 60, 16965-16969

2. Maotong Xu, Zheng-wang Qu*, Stefan Grimme, Douglas W. Stephan*, Lithium Dicyclohexylamide in Transition-Metal-Free Fischer-Tropsch Chemistry, J. Am. Chem. Soc. 2021, 143, 634-638

3. Maotong Xu§, Tongtong Wang§, Zheng-wang Qu*, Stefan Grimme, Douglas W. Stephan*, Reactions of a dilithiomethane with CO and N2O: An avenue to an anionic ketene and a hexafunctionalized benzene, Angew. Chem. Int. Ed. 2021, 60, 25281-25285 共一

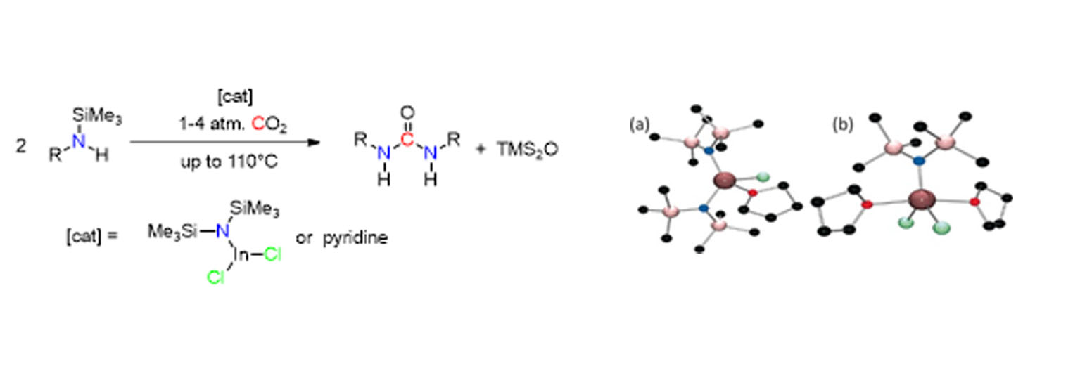
4. Maotong Xu, Andrew R. Jupp, Maegan S. E. Ong, Katherine I. Burton, Saurabh S. Chitnis, Douglas W. Stephan*, Synthesis of Urea Derivatives from CO2 and Silylamines, Angew. Chem. Int. Ed. 2019, 58, 5707-5711

5. Maotong Xu, Andrew R. Jupp, Douglas W. Stephan*, Acyl‐Phosphide Anions via an Intermediate with Carbene Character: Reactions of K[PtBu2] and CO, Angew. Chem. Int. Ed. 2019, 58, 3548-3552

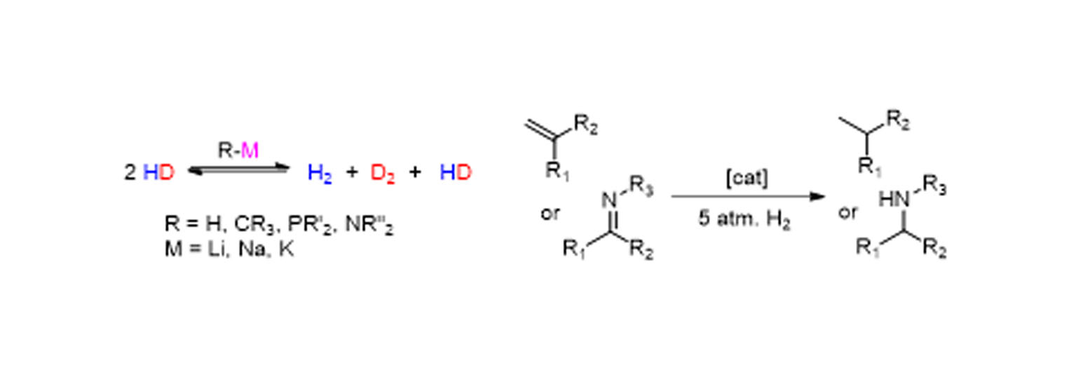
6. Maotong Xu, Andrew R. Jupp, Zheng‐Wang Qu, Douglas W. Stephan*, Alkali Metal Species in the Reversible Activation of H2, Angew. Chem. Int. Ed. 2018, 57, 11050-11054

7. Maotong Xu, Andrew R. Jupp, Douglas W. Stephan*, Stoichiometric Reactions of CO2 and Indium‐Silylamides and Catalytic Synthesis of Ureas, Angew. Chem. Int. Ed. 2017, 56, 14277-14281

8. Maotong Xu, Josephine Possart, Alexander E. Waked, Julie Roy, Werner Uhl*, Douglas W. Stephan*, Halogenated triphenylgallium and indium in frustrated Lewis pair activations and hydrogenation catalysis, Phil. Trans A. 2017, 2101, 375, 1-12

9. Tongtong Wang§, Maotong Xu§, Andrew R. Jupp, Zheng-wang Qu*, Stefan Grimme, Douglas W. Stephan*, Selective catalytic Frustrated Lewis Pair Hydrogenation of CO2 in the Presence of Silylhalides, Angew. Chem. Int. Ed. 2021, 60, 25771-25775 共一

10. Tongtong Wang, Maotong Xu, Andrew R. Jupp, Shi-Ming Chen, Zheng-Wang Qu*, Stefan Grimme, Douglas W. Stephan*, Frustrated Lewis pair catalyzed hydrodehalogenation of benzyl-halides, Chem. Commun. 2022, 58, 1175-1178

11. Tongtong Wang,Maotong Xu, Andrew R. Jupp, Zheng-Wang Qu*, Stefan Grimme, Douglas W. Stephan*, Steric Influence on Reactions of Benzyl Potassium Species with CO, Chem. Asian J. 2021, 16, 3640-3644

12. Kevin M. Szkop, Andrew R. Jupp, Hlib Razumkov, Maotong Xu, Douglas W. Stephan*, Chem. Eur. J. 2019, 25, 10084 -10087

13. Trevor Janes, Maotong Xu, Datong Song*, Synthesis and reactivity of Li and TaMe3 complexes supported by N, N′-bis(2,6-diisopropylphenyl)-o-phenylenediamido ligands, Dalton Trans. 2016, 45, 10672-10680

14. Yanxin Yang, Maotong Xu, Datong Song*, Organocatalysts with carbon-centered activity for CO2 reduction with boranes, Chem. Commun. 2015, 51, 11293-11296
