锌电池凭借高安全性、低成本和环境友好性,在可持续储能领域备受关注。相比常规锌箔电极,锌粉(ZnP)电极具备结构设计多样性、形态可加工性和规模化生产潜力等显著优势,但其固有的单分散结构导致了迟缓的离子/电子扩散动力学,限制了其应用。受生物体皮肤和毛细血管结构启发,1946伟德国际源自英国刘明贤教授团队开发了一种仿生类皮肤-毛细管结构的全链离子/电子传导网络的ZnP电极(ZnP-FC),其表面芳纶纳米纤维涂层(皮肤)可有效均一化Zn2+通量,避免H2O-ZnP直接接触,内部芳纶纳米纤维-ZnP交织网络(毛细血管)提升了Zn2+的电镀/剥离效率,增强了电极/电解液界面的稳定性。该研究成果以“Biomimetic Quasi-Skin-Capillary Structure Engineering of Ionic-Electronic Conducting Full-Chain Networks for Stable Zinc Powder Anodes”为题,发表于国际知名期刊《先进功能材料》(Advanced Functional Materials)。

扫描电子显微镜和光谱研究表明,芳纶纳米纤维成功形成了表面保护涂层(皮肤),并锚定ZnP颗粒形成了内部交织网络(毛细血管),构建了具有离子-电子传导全链网络的仿生类皮肤-毛细管结构的ZnP-FC电极。

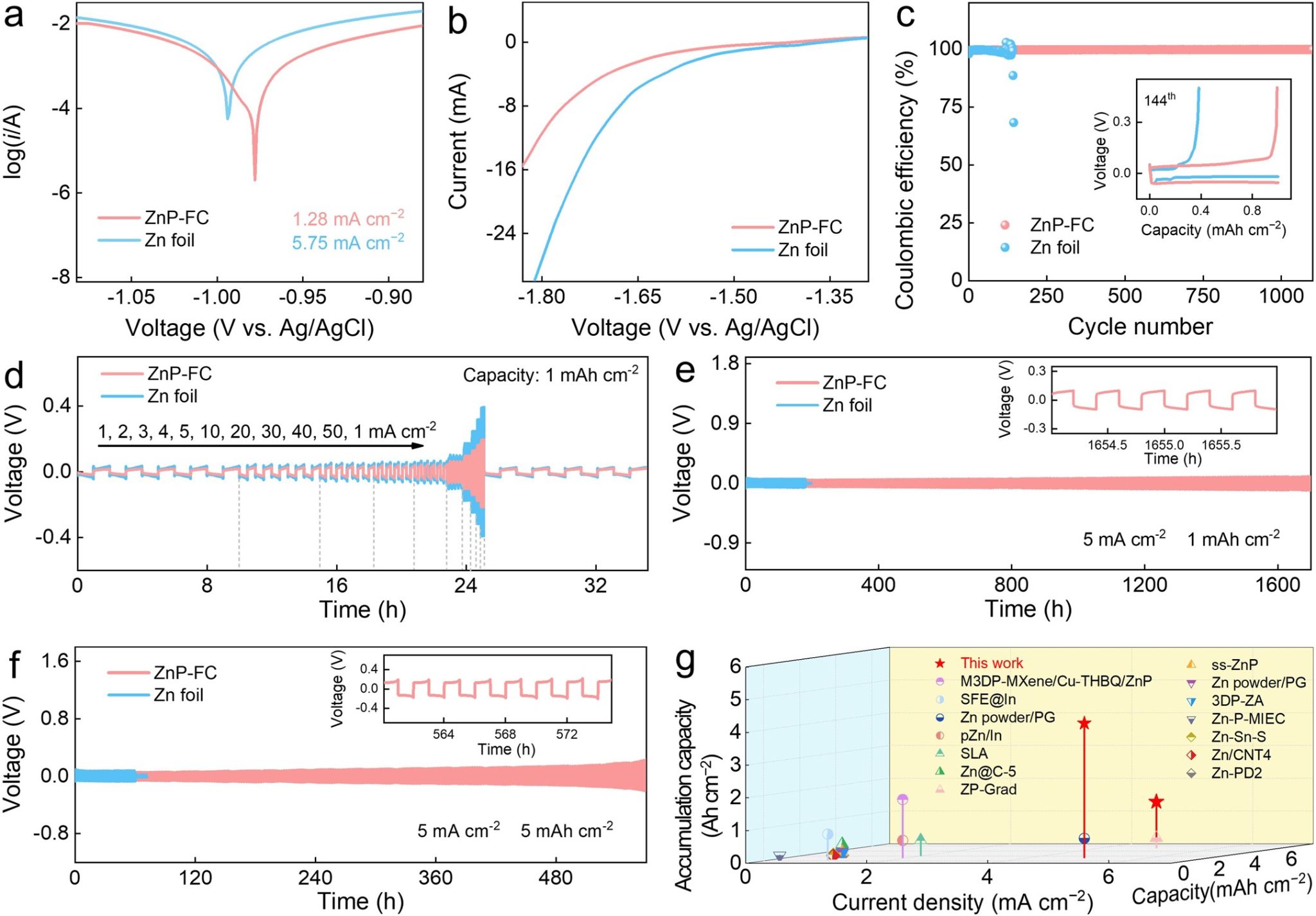
异位光谱实验和理论计算研究表明,ZnP-FC电极有效抑制了锌枝晶和副反应,促进了Zn2+的去溶剂化和传导,实现了高度可逆的电化学反应过程。

电化学研究结果表明,ZnP-FC电极稳定了电极/电解液界面以提升Zn2+扩散动力学,在半电池和对称电池中都展现出优异的电镀/剥离效率和循环稳定性。

ZnP-FC负极和钒基氧化物正极耦合的全电池表现出高效的离子/电子转移动力学和超长的循环寿命。这项研究工作为仿生锌粉阳极的结构设计提供了新的视角。

宋子洋博士后、甘礼华教授和刘明贤教授为论文共同通讯作者,博士生郑循雯为论文第一作者。研究工作得到了国家自然科学基金委、上海市科委和中国博士后科学基金会资助。
论文链接:https://onlinelibrary.wiley.com/doi/10.1002/adfm.202413990